2020-2021学年北师大版八年级数学下册第五章分式的加减法同步测试题及答案(Word版) 综合资料 王赞 2025-10-28 八年级 资源下载下载价格0.8 下载币VIP免费升级VIP立即购买 ——预览已结束,还剩7页未读——开通会员后可免费下载高清完整文档 阅读全文
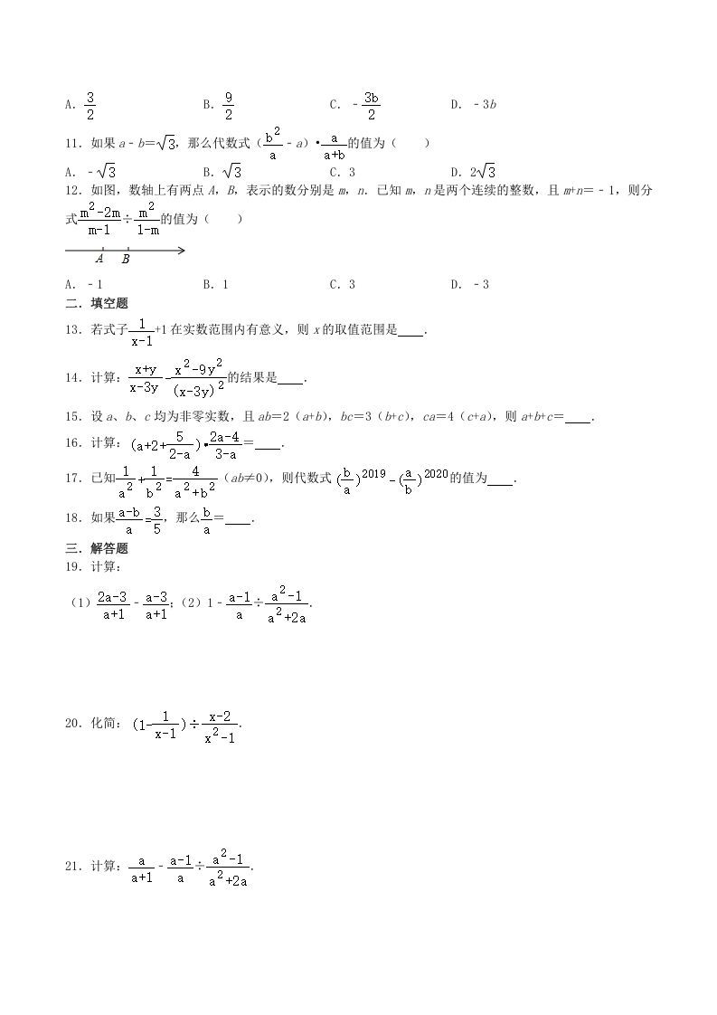
评论0